
|
Strategic News Service, the first paid subscription newsletter on the internet, was started 25 years ago. In honor of our 25th birthday, we're launching FiRe HQ, a new SNS-wide community platform (stay tuned for the big story and all the little details); hosting a monthly virtual FiReSide Event, where members may meet in intimate conversation with global experts and also interact with one another (click on the ad below to register); and generally continuing a yearlong celebration to carry us into the next 25 years. The new SNS Apparel Shop is officially open for business! And happens to be offering a sitewide 30% discount. There are dozens of items to peruse, all elegantly embroidered with the SNS logo. You asked for it, and now you have it. save the date
RESONANCE THEORY: PART III by Mark Anderson Introduction In this third piece on the Resonance Theory Program, I will describe some of the patterns in the major ideas and equations that provide the basis for physical theory today. These are both fundamental and simple, and should not be difficult for an interested reader to understand. On the other hand, as noted previously, it's likely that all of the ideas expressed here will seem novel, foreign, and perhaps crazy to readers. Even worse (or better), the more academic training in physics a reader has had, the more likely this will be. Patterns in Physics The reason is simple: as noted earlier, the methodology we are using here is based on pattern recognition rather than years of linear study in a specialization. The conclusions offered in Resonance Theory have, in general, been tested in discussions with some of the best minds in math and physics, none of whom have found errors in the tenets or conclusions to date. In our first SNS paper on Resonance, we looked at light traveling through the vacuum, and concluded that "the laws of physics derive directly from the properties of otherwise-empty space." In Resonance II, we explored the geometry of interactions, and the question of whether all of our knowledge in physics comes from collisions along the axis of travel. For those just coming to this work in Resonance III, I would recommend at least reading last week's report, to bring you up to speed with these unexpected ideas and conclusions. It should come as no surprise that pattern recognition can apply equally well to equations as to ideas. In this discussion, we're going to look at the pedigree of some of the great equations in the history of physics, searching for patterns that might open the door to having a broader view of their meaning and application, while holding in mind the geometric conclusions raised in Resonance II. Earlier in these discussions, I mentioned the first phase of this work, in which I identified the shared patterns of about 13 force laws (and related work), reduced to a single equation, all of which I checked with my friend William Bender, Prof. Emeritus of Physics at Western Washington University, before reducing it to a small computer program with 13 user interfaces driven by one equation. In doing this work, I began to see a pattern - not in an equation, but in a term within equations. Was it possible that a term had its own meaning, its own value, in some ways above and beyond how it appeared over time in many equations? I started to believe that the answer was Yes. Pattern recognition on equations had unearthed a very important term. Here is that term, in its simplest form: MVR where M is mass, V is velocity, and R represents distance in some form. I found versions of this term to be so often repeated in all manner of equations, from the 1700s through Special Relativity and quantum mechanics, that it begged not just identification, but also deeper understanding. So I dived in. The Principle of Least (Effective) Action Most physicists will recognize this mathematical term as the expression for "action," and it has a long and fascinating history. One story has it that a French artillery officer created it to better calculate hitting his targets. Certainly, one of the first to clearly elaborate on the term and its application was the French academician Pierre Louis Maupertuis, who discovered that minimizing this quantity led to solutions in uncounted fields. Here is a brief Wikipedia description: The principle of least action states that in all natural phenomena a quantity called 'action' tends to be minimised. Maupertuis developed such a principle over two decades. For him, action could be expressed mathematically as the product of the mass of the body involved, the distance it had travelled and the velocity at which it was travelling. Later in the same year (1744), the Swiss mathematician Leonard Euler, perhaps the most famous mathematician in history, expressed a similar view, clearly tailored to trajectories: Let the mass of the projectile be M, and let its speed be v while being moved over an infinitesimal distance ds. The body will have a momentum Mv that, when multiplied by the distance ds, will give Mv ds, the momentum of the body integrated over the distance ds. Now I assert that the curve thus described by the body to be the curve (from among all other curves connecting the same endpoints) that minimizes
or, provided that M is constant along the path,
- Leonhard Euler As Euler states, ∫Mvds is the integral of the momentum over distance travelled, which, in modern notation, equals the abbreviated or reduced action
wikipedia.org What we are seeing in each of these, in different variables, is the same. For instance, in the last equation, p is momentum, = MV. Dq is distance. In the prior equation, ds is distance, equivalent to R. In both of these, the operation of integrating over a path is a way of saying that the least path length, when this term is calculated, is the best answer. This fits an even deeper history of the idea behind "least action," contained in Fermat's principle, stating that light always travels across the path requiring the least time. One of the downsides of starting from scratch in looking at physics through pattern recognition is the discovery of something others may have already found, usually through study at school. So, having found MVR through pattern recognition, and recognizing its apparent universal power, I can now, 40 years later, just cut to the chase regarding its centrality in physics. Before we move on to the things not yet discovered by others, here's a quick pedigree of my favorite term. From Wikipedia: The principle can be used to derive Newtonian, Lagrangian and Hamiltonian equations of motion, and even general relativity (see Einstein-Hilbert action). In relativity, a different action must be minimized or maximized. The classical mechanics and electromagnetic expressions are a consequence of quantum mechanics. The stationary action method helped in the development of quantum mechanics. In 1933, the physicist Paul Dirac demonstrated how this principle can be used in quantum calculations by discerning the quantum mechanical underpinning of the principle in the quantum interference of amplitudes. Subsequently Julian Schwinger and Richard Feynman independently applied this principle in quantum electrodynamics. The principle remains central in modern physics and mathematics, being applied in thermodynamics, fluid mechanices, the theory of relativity, quantum mechanics, particle physics, and string theory and is a focus of modern mathematical investigation in Morse theory. Maupertuis' principle and Hamilton's principle exemplify the principle of stationary action. The action principle is preceded by earlier ideas in optics. In ancient Greece, Euclid wrote in his Catoptrica that, for the path of light reflecting from a mirror, the angle of incidence equals the angle of reflection. [citation needed] Hero of Alexandria later showed that this path was the shortest length and least time. You can see, now, why I was excited. Pattern recognition had identified an amazingly powerful term. But how did it fit into the geometric (and related) discoveries of Resonance Theory? The Heisenberg (Un)certainty Principle From our Resonance II discussion, we have (hopefully) agreed that all knowledge comes from interactions, and that all interactions occur along the Z-axis of travel. The Heisenberg Uncertainty Principle is one of the cornerstones of quantum mechanics. Hundreds of books, and likely thousands of papers, have been written about its interpretation - so we will now add something new. Here's a very simple form of the equation: ΔEΔT≥ħ/2 or: ΔPΔX≥ħ/2 In English, the first equation says that the difference in energy times the difference in time is no less than a constant. The second equation says the same for momentum and position. The historic interpretation - and the reason for its name - has been that this indicates the following: if you do an experiment using collisions along the Z-axis, you will find that you can be more precise in measuring energy, but less precise in measuring time, and so forth. In other words, these "complementary" variables balance each other out, bounded by a constant; the difference in one, times that of the other, are wedded in a sense, and are never less than the constant. Or: you can't precisely measure both in one experiment, and therefore its name. What really happens when two electrons (or protons) collide? Let's add to our Interaction Theory, which has given us a geometric view of this collision. What if we picture what we might call an Interaction Volume as this collision occurs along the Z-axis, and we recognize that the size of this volume is determined by the product of the two complementary variables? We would expect a volume equation to contain all three dimensions (or four, including time). If we go back to our Resonance II drawing of light -
By SuperManu - Self, based on Image:Onde electromagnetique.png, CC BY-SA 3.0, https://commons.wikimedia.org/w/index.php?curid=2107870 - and our agreement that matter, too, contains halves of the same geometry, we can see how this would apply, as a collision happens along the Z-axis. In the case of either light or matter, we would have some energy (electric and magnetic) expressed laterally in the X and Y plane, with the rest (Compton mass, etc.) along the Z-axis. In the Heisenberg equations, we would say that in the first, the energy is in the X,Y plane, and time T is running along the path of travel Z. In the second equation, the same would be true of momentum P vs. position X, which occurs along the path of travel Z. In both versions of Heisenberg, we have all three dimensions represented - prior to collision and certainly, therefore, after. Is this our Interaction Volume, as they collide? Does the Uncertainty relation actually describe the limits of this volume? And, if it is a true, physical volume, are we then seeing that whatever you call the stuff inside it, when we take out part (by measuring or observing it), the other part remains? Quantum physicists would likely refer to this within the concept of wave packets and wave collapse, but - maybe that is no longer necessary. Even more interesting: during the collision, what's that stuff inside the bag? Ah, you already knew, didn't you? Going back to our Action term, we now might see: MVR (the Action Term) vs. PX = MVX = MVR ET = (MV2/2) T = MV/2 (V/T) = MV/2 X = MVR; the 1/2 product would apply to matter and antimatter. The same would hold for MC2, w/o the 1/2 product, applied to light. The Interaction Volume is an Action Bag. And now, we can call this the Certainty Principle, since by it we know the minimum size of the volume of the bag. Before leaving this issue, let's go a little deeper on the world's favorite equation for energy. First, we'll write it: E=MCC Why? The main reason is the simplest: from Maxwell's time, we have two different definitions of C: in meters per second, along the Z-axis; and in terms of space's permittivity and permeability constants, in the X and Y plane. (See Resonance II for details.) Also, we want to see if we can gain or add geometrical understanding to this term, we want to understand any deeper relationship to Action, and we think there might be a deep secret behind these questions. Is it possible that C is expressing in two different geometries, or that, together, they represent a three-dimensional event? While we know that relative velocity of objects, V, can have values from zero up to - but not including - C, we also have shown that it can be described, in real terms, as an angle (such as an electron spin angle) when viewed from the side. But C is different; after all, it is, first and foremost, a constant - regardless of the observer's status. That is, in itself, an amazing, almost defiant description. This suggests that, unlike V, C has perhaps the greatest symmetry in physics. Also completely unlike V, C is the same (in speed), viewed from any and all frames of reference. If subluminal velocity can be defined by an angle, C looks the same to us from any angle. If there is a deep geometry that we are discovering in these equations, does it apply to how we experience or observe events? Sure. Although light frequency can be Doppler-shifted, its speed (unlike relative velocities) is fixed. In summary, the angle of C never changes, while the angle of V depends upon your frame of reference. When we "look at" light with regard to its speed, we always see the same thing. There is no left or right, top or bottom, front or back, approaching or leaving, or asymmetry of any kind. Observing, measuring, light is not like doing the same with a baseball or an electron. When we see light, it is as though we are seeing the inherent symmetry of space itself, rather than an object moving. While all of our prior applications of the Action term have been to objects that move with relative velocities, clearly light is different. Does Action also fit light? Richard Feynman and Julian Schwinger, co-discoverers of quantum electrodynamics, have already agreed; it certainly does. -- Most of our readers will have noticed, in passing, that we just included the term MC2 in our list of action terms. We have found Action at the core of both the most famous equation in Special Relativity (E= MC2) and in quantum mechanics (the Heisenberg Uncertainty Principle). My guess is that, since people like Feynman had a similar regard for Least Action, very advanced physicists may not be too surprised. Just to check, I asked my friend John Cramer to join me in Friday Harbor for dinner some years back, warning him that I had five questions I wanted to ask him. We had a great time together, I taped the entire affair, and prior to his departure the next morning, as we were washing dishes, I asked him my final question. "John, is it possible that the Principle of Least Action is the most important equation in all of physics?" He thought for a while, but not for too long. "It's possible," he said. -- How are normal people (or anyone else) to make sense of all you have read in these last three Resonance reports? How can you get your arms around these ideas of a new geometry to interactions, and whether they're real? Are there any additional indications that looking sideways in the X,Y plane is somehow possible, and that we would see something really different, or even amazing? Well, to end this discussion, I thought I would add a tantalizing example of a pattern I found while studying the strange behavior of light: Let's look at a train going down a track, along the Z-axis of travel, and add the core (Lorentz) Special Relativity equations below - not in our new circular form, but in the old-fashioned form, from Resonance I:
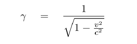
Let's say we're standing off to the side of the track, or in the X,Y plane, as the train travels along the Z-axis. The equation describing the relative values as the train approaches for mass (increasing), distance (decreasing), and time (increasing) are all governed by this circular equation, where gamma is the multiplier:
At the same time, if you watch the train's light as it approaches, there is also an equation, for the Doppler shift of light frequency - at right angles to the axis of travel, Z. As it approaches, the frequency increases, with - yes, you guessed it, gamma as the multiplier (of f (rel)/f (rest)):
or: fmoving = fstationary x (1-v2/c2)1/2 where f is the frequency of the light emitted. Is Special Relativity nothing more than the Doppler effect? Or, to put it more positively, are we finally learning to understand light and matter in terms of Resonance Geometry? The last three discussions of Resonance Theory and its geometry are not intended to be scientific proofs, and they are not. Rather, my hope is that these approaches, warts and all, will provide new perspectives for both amateurs and professionals that may be more productive than those we have today, or were taught in school. In 1905, during his "miracle year," Einstein published four brilliant papers on different subjects, each bringing major changes in thinking, often to known equations and problems. And for another 10 or 15 years, the science of physics was breathtakingly exciting, with new views and discoveries seemingly made monthly, then yearly, and then - hardly at all. For whatever reason, today's institutionalized science is more like science-by-committee, with predictable results: grants over greatness, common agreement over individual discovery. I seriously doubt that a new Einstein, working now (as then) in the Berne patent office in a junior capacity, would get anything published today so radical as those four papers. Newton, another amateur, is said to have discovered gravity while at his country estate, avoiding the plague in London. In the last two weeks, I have had the opportunity to capture about 40 years' worth of thinking about issues raised during two years of intense individual research, back in the late 1970s. The prime conclusion of Resonance I, written in 1979, was that space itself was not empty, and that the laws of physics derived directly from its properties. Then, that was close to heresy. Today, it is closer to being the Bible. No doubt there are many inaccuracies, or only half-proven conjectures, in the three discussions of Resonance in print, including this one. If they succeed in inspiring others to break the bonds of the past and find a series of revolutionary new steps forward, then we all win. Your comments are always welcome.
Sincerely, Mark R. Anderson
To arrange for a speech or consultation by Mark Anderson on subjects in technology and economics, or to schedule a strategic review of your company, email mark@stratnews.com. For inquiries about Partnership or Sponsorship Opportunities and/or SNS Events, please contact Berit Anderson, SNS Programs Director, at berit@stratnews.com.
"... nous rappellerions que Laplace lui même, ... ne cessait de répéter aux jeunes mathématiciens ces paroles mémorables que nous avons entendues de sa propre bouche: 'Lisez Euler, lisez Euler, c'est notre maître à tous.' "(... we would recall that Laplace himself, ... never ceased to repeat to young mathematicians these memorable words that we heard from his own mouth: 'Read Euler, read Euler, he is our master in everything.)' - This quote appeared in Gugliemo Libri's review of a recently published collection of correspondence among eighteenth-century mathematicians: Gugliemo Libri (January 1846), Book review: "Correspondance mathématique et physique de quelques célèbres géomètres du XVIIIe siècle, ..." (Mathematical and physical correspondence of some famous geometers of the eighteenth century, ...) - Journal des Savants
"Nature is thrifty in all its actions." - Pierre Louis Maupertuis, discoverer of the Principle of Least Action (unless, like some, you prefer Leibniz), describing the power of his discovery; Wikipedia.org Maupertuis also said: "The laws of movement and of rest deduced from this principle being precisely the same as those observed in nature, we can admire the application of it to all phenomena. The movement of animals, the vegetative growth of plants ... are only its consequences; and the spectacle of the universe becomes so much the grander, so much more beautiful, the worthier of its Author, when one knows that a small number of laws, most wisely established, suffice for all movements." - Pierre Louis Maupertuis; quoted by Chris Davis, Idle theory Archived 2006-06-15 at the Wayback Machine (1998)
"Light travels between two given points along the path of shortest time." -Pierre de Fermat, in the 1600s, a find which is known as the principle of least time, or Fermat's principle. - Ibid.
"My poor health should not lead to wrong political decisions. As I'm no longer able to meet the expectation of the mandate of the people of Japan, I have decided that I should not stay in the position as prime minister anymore. So I have decided to step down." - Japanese Prime Minister Shinzo Abe, noting last Friday that he has decided to resign because of illness, after weeks of speculation about his health after two visits to a hospital and just days after setting a record as the country's longest-serving leader; in a news conference in Tokyo; quoted in the Washington Post
"For studying a new virus like SARS-CoV-2, it's important to understand not only how populations respond to the virus, but how individuals - either people or cells - interact with it." - Laura Fabris, PhD, principal investigator and Rutgers associate professor in a statement. The technique developed in Fabris' lab could overcome hurdles that in the past prevented efforts to study viral replication in single cells, she added. - Fierce Biotech
A "Gadget" Comparison For the mathematicians: A comparison of "The Gadget" from Resonance Theory II published last week with perhaps the most famous equation in physics. As I worked on the patterns behind Special Relativity, I came up with a remarkably simple geometrical representation of these equations, represented as circular functions and contained in a single drawing. Here's The Gadget, in its most basic form, for our use in this discussion:
Here, r is the radial arm, which can move in the upper right quadrant from flat to vertical; x is the projection of that arm onto the X-axis; and y is the projection of that arm onto the Y-axis. The position of the radial arm r is described by the angle, theta (θ). Now, all we have to do is define terms. To completely describe the core (Lorentz) equations of Special Relativity, we will label these three variables accordingly: r = 1.0, a constant; y = v/c; and x = the ratios of any of the three parameters we care about, in ratio form: mass, as m0/m (rest mass over observed mass) distance, as d/d0 (observed distance over rest distance) time, as t0/t (rest time over observed time) And here is Euler's formula, which also leads us to both Action and the behavior of complex numbers / space in making more advanced wave calculations: Euler's formula … is a mathematical formula in complex analysis that establishes the fundamental relationship between the trigonometric functions and the complex exponential function. Euler's formula states that for any real number x: eix-cosx+isinx, where e is the base of the natural logarithm, i is the imaginary unit, and cos and sin are the trigonometric functions cosine and sine respectively. This complex exponential function is sometimes denoted cis x ("cosine plus i sine"). The formula is still valid if x is a complex number, and so some authors refer to the more general complex version as Euler's formula. Euler's formula is ubiquitous in mathematics, physics, and engineering. The physicist Richard Feynman called the equation "our jewel" and "the most remarkable formula in mathematics".
Regarding the geometry of light - First, from Resonance II: "But what if there's a different way of seeing these things? What if I suggested that we are missing - or misinterpreting - two-thirds of everything, from a geometrical perspective? What if we are, in a certain sense, only 'seeing' in one dimension? Here's a typical illustration of how light moves through 'empty' space:"
By SuperManu - Self, based on Image:Onde electromagnetique.png, CC BY-SA 3.0, https://commons.wikimedia.org/w/index.php?curid=2107870 And then - since this, at the time, violated the Law of Conservation of Energy - below, from Resonance I, is the same wave (Fig. 1), followed by the combined (predicted) waves in Fig. 3. Fig 3 shows the proposed third (mass) wave added to the traditional E,B light wave drawing. Take a look, and then compare with Euler's diagram, further below.
Now compare Fig. 3, above, with a three-dimensional visualization of Euler's formula, below. Here, the E and B waves are lateral, but coming diagonally toward us, and Euler's complex wave is red. Since these E and B waves are 180 degrees opposed (not in phase), the red calculation does not need to solve the Conservation issues for in-phase waves. Even so, we can quickly see that the geometries are nearly identical, and that application of Euler's is intended to achieve exactly the same goal as the use of the Charge Inversion Modes (CIMs) in the Resonance diagram above, providing what would be a symmetry in the X,Y plane of the Resonance figures which could equally well serve to mathematically identify the charge symmetry differences between matter and antimatter.
Source: Wikipedia.org
This section highlights current stories regarding the global theft of IP - or, Who's stealing from whom? For more on the SNS INVNT/IP division and how your company can get privileged access to our information, go to www.invntip.com.
China Chinese Researcher at UCLA Charged With Destruction of EvidenceFBI warns corporations about Chinese theftInside the Chinese military attack on NortelTexas A&M Professor Arrested, Charged for Hiding Ties to ChinaChinese diplomats aided military scholars in gathering intelligence: report
Russia Tesla Dodged a Major Russian Cyber Attack Thanks to a Brave Employee (and the FBI)Russian arrested for trying to recruit an insider and hack a Nevada company
Company Interest Kanye West, Yeezy Apparel Sued Over Intellectual TheftU.S. flirtation with 'technonationalism' means trouble for the worldChina's laughable double standards fool no one
Re: SNS: Resonance Theory Part II and SNS: The Viral Economy
Subj.: Resonance Theory Part II Mark, Just WOW! Scott Schramke IT Director
Scott, Thank you. I have added your vote to the five "Unsubscribes" coming from much more discerning voices than ours, with a total grade for the issue falling somewhere below watching old Brady Bunch re-runs. And I thought Physics was the sexy thing of tomorrow - Mark Anderson
Subj.: Abe is leaving -- Mark and Scott [Foster], Japanese Prime Minister Shinzo Abe resigns, citing health reasons Thoughts?
Sally Anderson Editor-in-Chief / Production Manager
Prime Minister Abe spoke and answered questions for an hour today. As you can now read in detail in the media, he is resigning for health reasons. But he plans to stay on as a member of the Diet and leader of a group of conservatives. He emphasized that the Japan-US Security Treaty remains vital considering the threats from China and North Korea. And that his policies regarding defense and constitutional revision are the policies of the LDP and, therefore, will not change. There is likely to be an interim prime minister until the LDP elects a new leader at the end of September. Scott Foster [Author, Stealth Japan
Scott, As you say, his health problems have been a matter of public knowledge for some time. Any thoughts about why resign at this exact time? Presumably either things have taken a turn for the worse or he "wants to spend more time with his family," literally or figuratively speaking. Not that he said that (I haven't filled in on his comments yet), but my question is if the timing is to be taken at face value. Sally
![]()
* On September 24, Mark will be co-hosting the next virtual FiReSide Event, "QAnon and the Fight for Truth." Registration is open, with speakers to be announced.
In between times, he will try to stop thinking about light for a whole week.
Copyright © 2020 Strategic News Service LLC "Strategic News Service," "SNS," "Future in Review," "FiRe," "INVNT/IP," and "SNS Project Inkwell" are all registered service marks of Strategic News Service LLC. ISSN 1093-8494 |













